Primeiramente, quero que leiam as REGRAS DE TAREFA:
(http://cursopreparatorioparacefetmt.blogspot.com/2022/01/regras-de-tarefa-do-curso-para-novos.html) para realizarem-na de forma
correta e não deixar que sejam desclassificadas.
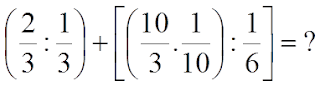
01)
Calcule a expressão abaixo e marque a alternativa que contenha o resultado
correto:
(nesta questão é
obrigatória a apresentação dos cálculos passo a passo. Sem apresentar as
continhas de forma correta e detalhada, sua questão não será corrigida.)
a) 1/21
b) – 1/12
c) 14/21
d) – 14/21
e) 3/21
02)
Cada um dos resultados das multiplicações abaixo representa uma letra (A, B, C,
D e E).
Substitua
cada uma das letras acima na expressão abaixo e marque a alternativa que
contenha seu resultado correto:
E
+ D – C + B – A
(nesta questão é
obrigatória a apresentação dos cálculos passo a passo. Sem apresentar as
continhas de forma correta e detalhada, sua questão não será corrigida.)
a) 3
b) 15
c) 15/2
d) 56/3
e) 112/3
03)
Relacione as colunas abaixo, ligando cada divisão a seu quociente (resultado)
correto. Depois, marque a alternativa que contenha a sequência correta das suas
respostas:
(nesta questão é obrigatória a apresentação dos cálculos passo a passo. Sem apresentar as continhas de forma correta e detalhada, sua questão não será corrigida.)
a) A – D – B – C – E
b) A – B – D – E – C
c) E – B – C – A – D
d) B – D – E – C – A
e) E – A – D – B – C
04)
O resultado das divisões abaixo, são respectivamente:
(+26) :
(-39) = ?
(-4) : (-8)
= ?
(+5) :
(-35) = ?
(+6) : (+36)
= ?
(-17) :
(-34) = ?
a) 3; 2; -7; 6; 2
a) -3; 1/2; -7; 6; 1/2
a) -2/3; 1/2; -1/7; 1/6; 1/2
a) -1/3; 1/2; 1/7; 1/6; 17
a) -2/3; 1/4; -1/5; 1/6; 17
05)
Calcule a expressão abaixo e marque a alternativa que contenha o resultado
correto:
(nesta questão é
obrigatória a apresentação dos cálculos passo a passo. Sem apresentar as
continhas de forma correta e detalhada, sua questão não será corrigida.)
a) 2
b) 4
c) 5
d) 6
e) 8
06)
Num sessão de cinema em Cuiabá, para se assistir ao filme “Pânico VI”, a
entrada custa R$ 30,00. Neste domingo, numa sala com 340 poltronas, todas foram
preenchidas. Metade desta lotação pagou meia entrada. Das poltronas que
sobraram, metade pagou a entrada inteira, e a outra metade pagou R$ 12,00, pois
ganhou cortesias de desconto. Qual foi a arrecadação desta sala de cinema no
domingo?
(nesta questão é obrigatória a apresentação dos cálculos passo a passo. Sem apresentar as continhas de forma correta e detalhada, sua questão não será corrigida.)
a) R$ 6.120,00
b) R$ 7.140,00
a) R$ 8.360,00
a) R$ 8.440,00
a) mais de 9.000 reais
07) Um professor de matemática do IFMT – Campus Cáceres calculou a nota final de uma prova de 30 questões da seguinte maneira: a cada questão certa, o aluno ganhava 4 pontos; e a cada errada, o aluno perdia 1 ponto. Pedrinho respondeu a todas as questões e obteve 60 pontos. Quantas questões ele acertou?
(nesta questão é obrigatória a apresentação dos cálculos passo a passo. Sem apresentar as continhas de forma correta e detalhada, sua questão não será corrigida.)
b) 18 questões.
c) 19 questões.
d) 20 questões.
e) 24 questões.




