Primeiramente, quero que leiam as REGRAS DE TAREFA:
(http://cursopreparatorioparacefetmt.blogspot.com/2022/01/regras-de-tarefa-do-curso-para-novos.html) para realizarem-na de forma
correta e não deixar que sejam desclassificadas.
01) Em qual das alternativas abaixo, o conjunto
solução encontra-se INCORRETO?
(nesta questão é obrigatória a apresentação dos cálculos
passo a passo. Sem apresentar as continhas de forma correta e detalhada, sua
questão não será corrigida.)
a) e – 7 = 2;
S
= { 9 }
b) c + 11 = 10;
S
= { - 1 }
c) d – 10 = 0;
S
= { 10 }
d) b + 8 = 3;
S
= { - 5 }
e) a – 5 = 5;
S
= { 0 }
02) Calcule a equação a seguir e marque a alternativa
que contenha seu conjunto solução correto:
30n + 5 – 11n = n – 85
a) S = { 85/23 }
b) S = { 5 }
c) S = { - 5 }
d) S = { 3 }
e) S = { - 3 }
03) Calcule a equação a seguir e marque a alternativa
que contenha seu conjunto solução correto:
(nesta questão é obrigatória a apresentação dos cálculos
passo a passo. Sem apresentar as continhas de forma correta e detalhada, sua
questão não será corrigida.)
14x – 3 – 2x = 1/2
a) S = { 7/24 }
b) S = { 5/12 }
c) S = { 6 }
d) S = { 7 }
e) nra
04) Calcule a equação a seguir e marque a alternativa
que contenha seu conjunto solução correto:
(nesta questão é obrigatória a apresentação dos cálculos
passo a passo. Sem apresentar as continhas de forma correta e detalhada, sua
questão não será corrigida.)
6y – 6 = (y – 2)2 + 4
a) S = { 3 }
b) S = { 3/2 }
c) S = { 7/6 }
d) S = { 10 }
e) S = { 1 }
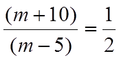
05) Calcule a equação a seguir e marque a alternativa
que contenha seu conjunto solução correto:
a) S = { 5 }
b) S = { -25 }
c) S = { 10 }
d) S = { -15 }
e) S = { 15 }
06) Em qual das alternativas abaixo, o
conjunto solução encontra-se CORRETO?
(nesta questão é obrigatória a apresentação dos cálculos
passo a passo. Sem apresentar as continhas de forma correta e detalhada, sua
questão não será corrigida.)
a) s5 = - 1 S = { -5 }
b) k2 = 5 S = { 25 }
c) f3 = -2 S = { -8 }
d) e4 = 16 S = { 2 }
e) c6 = -1 S = { -1 }
07) Calcule a equação a seguir e marque a alternativa
que contenha seu conjunto solução correto:
(nesta questão é obrigatória a apresentação dos cálculos
passo a passo. Sem apresentar as continhas de forma correta e detalhada, sua
questão não será corrigida.)
3(k + 1) – 2(k – 1) = 2k - 10
a) S = { 5 }
b) S = { 11 }
c) S = { 15 }
d) S = { 20 }
e) S = { 21 }

