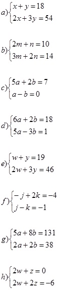
01)
Calcule cada sistema abaixo e apresente corretamente e em destaque, seu conjunto
solução:
(vale
4,0%)
02)
“Sucessor” é o numero natural seguinte a outro. “Antecessor” é o contrario: é o
numero anterior. Qual a soma dos antecessores e sucessores dos números 235,
125, 88, 445, 897 e 101? (vale 0,5%)
a)
3.458
b)
3.782
c)
3.105
d)
3.488
e)
nra
03)
Uma calculadora apresenta, dentre suas teclas, uma tecla A, que aumenta o
numero digitado em 175 unidades, e uma tecla B, que adiciona 245 ao número que
está no visor. Qual será o número obtido se uma pessoa digitar inicialmente, 286
e apertar em sequencia , as teclas B, A e B? (vale 0,5%)
a)
810
b)
875
c)
625
d)
781
e)
951
